脱・全結合層!AIをスリムで賢くする「Global Average Pooling」の魔法
こんにちは。ゆうせいです。
前回の記事では、現場担当の「畳み込み層」と、最終決定を下す「全結合層」のチームプレーについてお話ししました。しかし、実は最近の賢いAIたちは、この「最後の役員会議(全結合層)」をリストラし始めているのをご存知ですか?
その代わりに採用されているのが、今回解説する「Global Average Pooling(グローバル・アベレージ・プーリング、略してGAP)」という画期的な仕組みです。
なぜ、あんなに強力だった全結合層が不要だと言われるようになったのか。その秘密に迫りましょう!
全結合層が抱えていた「わがまま」な問題
これまでのAI設計では、畳み込み層で画像の特徴を見つけた後、最後に全結合層をドッキングさせるのが定石でした。しかし、全結合層には困った性質があったのです。
- パラメーターが多すぎる:全員と連絡を取り合う全結合層は、AIのデータ量の大部分を占拠してしまいます。いわば「頭でっかち」な状態です。
- 位置情報を忘れてしまう:全結合層にデータを入れるとき、せっかく畳み込み層が積み上げた「どこに何があるか」という位置情報を、一列に並べ替えて(フラット化して)壊してしまうのです。
- 入力サイズに厳しい:全結合層は「入力されるデータの数」が少しでも変わると計算できません。そのため、AIに食べさせる画像のサイズを常に一定に揃える必要がありました。
GAPは「各チームの平均点」だけを見る
そこで発明されたのがGlobal Average Poolingです。
畳み込み層を通った後のデータは、例えば「猫の耳担当の地図」「猫のひげ担当の地図」というように、特徴ごとの「地図(特徴マップ)」になっています。
GAPが行うのは、この地図1枚ごとの平均値を計算するという、驚くほどシンプルな作業です。
例えば「耳担当の地図」に高い数値がたくさん並んでいれば、その地図の平均値も高くなりますよね。GAPは、地図を1つの数値(平均値)にギュッと凝縮して、そのまま「これは耳のスコアだ!」と判定に使ってしまうのです。
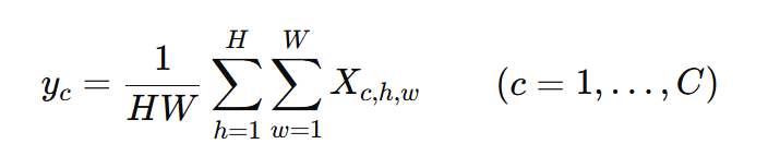
数式で見るGAPのシンプルさ
ある1枚の地図のサイズを とすると、GAPの出力
は以下のようになります。
すべてのマスの数値を全部足して、マスの総数で割る。これだけです!

GAPを採用する圧倒的なメリット
全結合層をGAPに置き換えると、AIは次のような劇的な進化を遂げます。
| 項目 | メリットの内容 |
| 軽量化 | パラメーター(重み)がゼロなので、AIのファイルサイズが劇的に小さくなります。 |
| 過学習の防止 | 覚えるべき「ネジ」がないため、練習問題を丸暗記する余裕がなくなり、応用力が上がります。 |
| サイズの自由度 | 平均を取るだけなので、入力画像のサイズが大きくても小さくても、柔軟に対応できます。 |
| 根拠の可視化 | どの地図が反応したかが直接わかるため、「AIが画像のどこを見て判断したか」を追いやすくなります。 |
デメリットを強いて挙げるなら、全結合層ほど強引に「複雑な組み合わせ」を学習できないことですが、現代のAIでは畳み込み層が十分に優秀なので、GAPで十分だという結論に達しています。
現場でどう使われている?
最近の有名なモデル、例えば「ResNet」や「Inception」といった画像認識AIの多くは、このGAPを最後段に採用しています。
!
全結合層という「巨大な会議室」を廃止して、各現場の「平均的な報告」をそのまま集計する。このスリム化こそが、スマホのような小さなデバイスでも高性能なAIが動くようになった大きな理由の一つなんです。
これからの学習の指針
GAPを理解すると、AIの「引き算の美学」が見えてきます。
- 自分が使っているAIモデルの最後が
Flatten -> Dense(全結合)かGlobalAveragePooling2Dかを確認してみる。 - GAPを使った技術である「CAM(Class Activation Map)」を調べて、AIが見ている場所をヒートマップで表示する方法を学ぶ。
- データの「最大値」を取る「Global Max Pooling」との違いや使い分けを考えてみる。
無駄を削ぎ落とすことで、AIはより本質的な特徴を捉えるようになります。
次は、このGAPと相性抜群で、AIの判断根拠を目で見えるようにしてくれる「CAM」の世界を覗いてみませんか?
セイ・コンサルティング・グループでは新人エンジニア研修のアシスタント講師を募集しています。
投稿者プロフィール

- 代表取締役
-
セイ・コンサルティング・グループ株式会社代表取締役。
岐阜県出身。
2000年創業、2004年会社設立。
IT企業向け人材育成研修歴業界歴20年以上。
すべての無駄を省いた費用対効果の高い「筋肉質」な研修を提供します!
この記事に間違い等ありましたらぜひお知らせください。
学生時代は趣味と実益を兼ねてリゾートバイトにいそしむ。長野県白馬村に始まり、志賀高原でのスキーインストラクター、沖縄石垣島、北海道トマム。高じてオーストラリアのゴールドコーストでツアーガイドなど。現在は野菜作りにはまっている。


