AIのネットワークを支える土台!全結合層の仕組みと個性が光る仲間たち
こんにちは。ゆうせいです。
これまで、AIがどうやって学習し、どうやってその成長を確認するかをお話ししてきましたね。今回は、そもそもAIという「建物」がどのような「部屋(層)」で構成されているのか、その基本構造に迫ります。
特に、AIの歴史を支えてきた王道中の王道、「全結合層」について詳しく紐解いていきましょう!
全結合層とは「全員が全員と話し合う」場所
全結合層(Fully Connected Layer)は、その名の通り、前の層にあるすべてのユニット(ニューロン)が、次の層のすべてのユニットと結びついている構造のことです。
高校生の皆さんに例えるなら、クラス全員が、隣のクラスの全員と1対1で連絡先を交換して、密に情報をやり取りしているような状態です。
情報の漏れがなく、あらゆるデータの組み合わせを考慮できるのが最大の特徴です。
専門用語で言うと「線形変換」
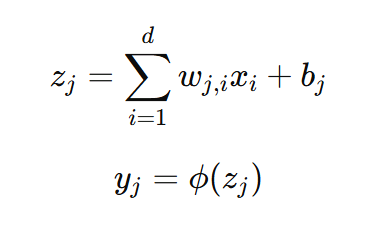
全結合層で行われているのは、実はシンプルな「掛け算と足し算」のセットです。
前の層から届いたデータ に対して、それぞれのつながりの強さである「重み
」を掛け合わせ、最後に「バイアス
」という調整役を足します。
この計算によって、バラバラだった情報が統合され、新しい意味を持った数値へと変換されていきます。

全結合層のメリットとデメリット
全結合層は非常に強力ですが、万能というわけではありません。
| 項目 | 内容 |
| メリット | どんな種類のデータにも対応でき、複雑な関係性を学習する能力が高い。 |
| デメリット | つながりの数が膨大になるため、計算量が増え、過学習(暗記)が起きやすい。 |
| デメリット | データの「位置関係」を無視してしまう(画像を1列に並べ替えてしまうため)。 |
「全員と連絡を取り合う」のは丁寧ですが、人数が増えすぎるとスマホの通知が鳴り止まず、パンクしてしまいますよね。それと同じことがAIの中でも起きるのです。
個性豊かな「それ以外」の層たち
全結合層の「計算が重すぎる」「位置関係に弱い」という弱点を克服するために、特別な役割を持った層たちが発明されました。
1. 畳み込み層(Convolutional Layer)
画像認識の主役です!
全結合層が「全員と話す」のに対し、畳み込み層は「近所の人たちとだけ話す」スタイルです。小さな窓(フィルター)で画像の一部をジロジロと眺め、エッジや模様などの特徴を見つけ出します。
2. プーリング層(Pooling Layer)
情報の「要約」を担当する層です。
細かなズレを無視して、重要な特徴だけを残したままデータを小さくします。これにより、写真の中の猫が少し右にずれていても「これは猫だ!」と正しく判定できるようになります。
3. 再帰型層(RNN Layer)
「時間」や「順番」を扱うのが得意な層です。
前の瞬間の自分自身の状態を覚えているため、文章(言葉の並び)や音声などの時系列データを処理するのに向いています。
全結合層は「最後の決め手」
「じゃあ、全結合層はもう古いんですか?」と思うかもしれませんが、そんなことはありません!
畳み込み層などが画像から「耳がある」「ひげがある」という特徴を抽出した後、最終的に「……ということは、これは 90% の確率で猫だ!」と総合判断を下すのは、今でも全結合層の役割です。
いわば、現場担当(畳み込み層)が情報を集め、役員会議(全結合層)が最終決定を下す、というチームプレーでAIは動いているのです。
これからの学習の指針
層の種類を理解すると、AIの「設計図(アーキテクチャ)」が読めるようになります。
- 「CNN(畳み込みニューラルネットワーク)」の構成図を見て、どこに全結合層が使われているか探してみる。
- 畳み込み層の計算式を調べて、全結合層との「つながり方の違い」を数式で感じてみる。
- なぜ最近のAIでは、全結合層の代わりに「Global Average Pooling」という手法が使われることがあるのか調べてみる。
!
AIは単なる数式の塊ではなく、役割を持ったパーツが組み合わさった「精密機械」です。それぞれの層の個性を知れば、もっと自由にAIを操れるようになりますよ。
セイ・コンサルティング・グループでは新人エンジニア研修のアシスタント講師を募集しています。
投稿者プロフィール

- 代表取締役
-
セイ・コンサルティング・グループ株式会社代表取締役。
岐阜県出身。
2000年創業、2004年会社設立。
IT企業向け人材育成研修歴業界歴20年以上。
すべての無駄を省いた費用対効果の高い「筋肉質」な研修を提供します!
この記事に間違い等ありましたらぜひお知らせください。
学生時代は趣味と実益を兼ねてリゾートバイトにいそしむ。長野県白馬村に始まり、志賀高原でのスキーインストラクター、沖縄石垣島、北海道トマム。高じてオーストラリアのゴールドコーストでツアーガイドなど。現在は野菜作りにはまっている。


