新人エンジニア研修講師
VGGが切り開いた深いネットワークの世界!層を重ねる美学を読み解く
こんにちは。ゆうせいです。 前回はAI界の革命児、AlexNetについてお話ししましたね。ジェフリー・ヒントン教授たちの活躍に興奮した方も多かったのではないでしょうか。 今回は、そのAlexNetのわずか2年後、2014 […]
AIの歴史を塗り替えた革命児!AlexNetが画像認識の常識を覆した3つの理由
こんにちは。ゆうせいです。 みなさんは、AIがスマートフォンの写真フォルダを自動で分類したり、街中のカメラで不審な動きを察知したりできるのはなぜだと思いますか。実は、2012年に登場したAlexNetというモデルが、その […]
推論の天才になるための第一歩!アブダクションの魔法で未知の課題を解決しよう
こんにちは。ゆうせいです。 みなさんは、日常生活の中で、ちょっとした違和感から真実を見抜いた経験はありませんか。 例えば、玄関に濡れた傘が置いてあるのを見て、外は雨が降っているんだな、と察するような場面です。 実は、こう […]
スキルアップの特等席!Courseraを使い倒してキャリアを劇的に変えるロードマップ
こんにちは。ゆうせいです。 新しいことを学びたいと思ったとき、あなたなら何から始めますか。本を読みますか。それともYouTubeで動画を探しますか。もし、世界トップクラスの大学や有名企業の講義を、自宅にいながら日本語で受 […]
モデルの精度を左右する運命の分かれ道!クロスバリデーションによる賢い変数・パラメータ選択術
こんにちは。ゆうせいです。 せっかく作ったAIモデルが、練習問題では満点なのに本番のテストではボロボロ……なんて経験はありませんか。 これは、モデルが手元のデータだけに慣れすぎてしまう「過学習」という現象です。 今回は、 […]
機械学習の心臓部!バッチ最急降下法と確率的勾配降下法の違いを世界一わかりやすく解説
こんにちは。ゆうせいです。 AIが賢くなっていくプロセスを不思議に思ったことはありませんか。 実は、コンピューターも私たちと同じように「失敗から学ぶ」ことで成長しているのです。 今回は、その学習を支える非常に重要な技術で […]
AIでビジネスを加速させる!ロジスティック回帰とシグモイド関数の魔法を徹底解説
こんにちは。ゆうせいです。 あなたは、目の前にあるデータが「合格か不合格か」「購入するかしないか」といった二択の結果を予測したいと思ったことはありませんか。ビジネスの現場では、このような「白黒はっきりさせたい場面」が数多 […]
AIの翻訳精度を測るものさし!BLEUスコアの仕組みをマスターしよう
こんにちは。ゆうせいです。 前回は、同じ言葉を繰り返すズルを許さない、修正された的中率についてお話ししましたね。でも、単語が合っているだけで、本当に「良い文章」だと言えるのでしょうか。例えば「私は りんごを 食べる」と「 […]
初心者でもわかる!自然言語処理の評価指標 modified n-gram precision 徹底解説
こんにちは。ゆうせいです。 あなたは、AIが書いた文章がどれくらい人間らしいか、どうやって判定しているか考えたことはありますか。機械翻訳や自動要約の精度を測るとき、実はちょっとした工夫が必要なのです。今日は、その判定基準 […]
AIが学習する秘訣!最適化アルゴリズムAdamの仕組みを徹底解説
こんにちは。ゆうせいです。 みなさんは、AIがどうやって賢くなっていくのか不思議に思ったことはありませんか。 コンピューターが膨大なデータから正解を導き出すとき、実は裏側でひたすら「もっと良い答えはないか」と探検を繰り返 […]
AIが画像を理解する魔法の箱?GoogLeNetの画期的な仕組みをプロが徹底解説 その2
こんにちは。ゆうせいです。 前回の記事では、GoogLeNetの心臓部であるインセプションモジュールについてお話ししましたね。でも、GoogLeNetにはもう一つ、地味ながらも超画期的なアイデアが隠されています。 それが […]
AIの「限界」を突破した革命児!ResNetのショートカット構造をプロが解説
こんにちは。ゆうせいです。 前回の記事では、効率性を極めたGoogLeNetについてお話ししました。しかし、AIの世界は止まることを知りません。GoogleNetが登場した翌年の2015年、さらに驚くべき進化を遂げたモデ […]
AIが画像を理解する魔法の箱?GoogLeNetの画期的な仕組みをプロが徹底解説
こんにちは。ゆうせいです。 みなさんは、スマートフォンで写真を撮ったときに、自動で「猫」や「風景」と分類してくれる機能に驚いたことはありませんか?実は、その裏側には人工知能の歴史を塗り替えた革新的な技術が隠されているんで […]
物体検出データセットの四天王を攻略せよ!
こんにちは。ゆうせいです。 画像認識や物体検出の世界に足を踏み入れると、必ず耳にするのがデータセットの名前です。 「どのデータセットを使って学習させるか」は、AIの賢さを決める非常に重要な選択なのですが、初心者の方にとっ […]
【L1・L2正則化の相性診断】その機械学習モデル、正則化して本当に大丈夫ですか
こんにちは。ゆうせいです。 機械学習の勉強を進めていくと、必ずぶつかる壁があります。「過学習」という言葉を聞いたことはありますか。AIが練習問題(学習データ)を丸暗記しすぎてしまって、本番のテスト(未知のデータ)で全く点 […]
【AI用語の完全ガイド】ディープラーニングとニューラルネットワークの違いとは?CNNや学習済みモデルまでわかりやすく解説
こんにちは。ゆうせいです。 最近、ニュースやSNSで「AI」という言葉を見ない日はありませんよね。でも、記事を読んでいると「ディープラーニング」とか「ニューラルネットワーク」、さらには「トランスフォーマー」なんていうカタ […]
複雑な波をシンプルに分解!フーリエ変換で音や映像の正体を見破ろう
こんにちは。ゆうせいです。 私たちの周りには、たくさんの音が溢れていますよね。お気に入りの音楽、街の雑踏、あるいは今こうして記事を読んでいるときに聞こえる換気扇の音。それらはすべて空気の震え、つまり波として存在しています […]
音の高さの不思議を解き明かす!メル尺度と人間の耳の驚くべき関係
こんにちは。ゆうせいです。 みなさんは、ピアノの鍵盤をイメージしたとき、ドから高いドへ移る感覚と、さらにその上のドへ移る感覚が同じだと感じませんか。しかし、物理的な数字の世界では、音の高さは一定の幅で増えているわけではな […]
音の正体を暴く魔法!短時間フーリエ変換と窓関数の深い関係
こんにちは。ゆうせいです。 私たちが普段何気なく耳にしているスマートフォンからの音楽や、スマートスピーカーとの会話。これらの技術を支えているのは、実は数学とデジタル処理の結晶です。研修の現場でも、エンジニアの卵たちが最初 […]
距離学習(Metric Learning)でデータの「相性」を数値化!初心者向け徹底ガイド
こんにちは。ゆうせいです。 突然ですが、あなたは「似ているもの同士を自動でグループ分けしたい」と思ったことはありませんか?例えば、大量にある写真の中から、特定の人の顔だけを集めたり、好みが似ているユーザーに商品を勧めたり […]
AIの判断を公平に評価!SHAPが教える「貢献度」の秘密
こんにちは。ゆうせいです。 前回の記事では、特定のデータの周辺だけを調べるLIMEについてお話ししましたね。でも、読者の皆さんの中には「特定の場所だけじゃなくて、もっと公平で、理論的にしっかりとした説明が欲しい!」と感じ […]
ブラックボックスAIの謎を解き明かす!LIMEでAIの判断理由が見える!?
こんにちは。ゆうせいです。 突然ですが、皆さんはAI(人工知能)と聞いて、どんなイメージをお持ちでしょうか? 「すごい技術!」とか「未来を変える!」といったポジティブなイメージを抱く方が多いかもしれませんね。でも、同時に […]
AIの心の中をのぞき見?ブラックボックスを解き明かすXAIの世界へようこそ
こんにちは。ゆうせいです。 最近、ニュースや仕事現場で「AI」という言葉を聞かない日はありませんよね。でも、AIが「これは合格です!」「この画像は猫です!」と判定したとき、どうしてその結論に至ったのか不思議に思ったことは […]
もう迷わない!数学嫌いのエンジニアに贈る余弦定理と機械学習の意外な関係
こんにちは。ゆうせいです。 数学と聞いただけで、学生時代の苦い記憶が蘇って身構えてしまう方も多いのではないでしょうか。ましてや「機械学習」なんて言葉が合わさると、まるで別世界の出来事のように感じてしまいますよね。 でも、 […]
AIを味方につける!深層学習で役立つ活性化関数tanhの正体と使い所
こんにちは。ゆうせいです。 みなさんは、AI(人工知能)がどうやって学習を進めているか考えたことはありますか?人間の脳細胞が電気信号を受け取って、次の細胞へ情報を渡すかどうかを判断するように、AIの中にも情報の「関所」の […]
n分割クロスバリデーションなのに、なぜグループがn+1個になるの?
こんにちは。ゆうせいです。 n分割クロスバリデーションという名前を聞いて「グループはn個に分かれるんだな」と納得して終わるのは、まだ少しもったいないかもしれません。 実はそこには、学習を支えるための「 個目のグループ」と […]
バッチ最急降下法とは何か
こんにちは。ゆうせいです。 AIやデータ分析の世界へようこそ! 皆さんは、膨大なデータの中からたった一つの正解を見つけ出すとき、コンピュータがどのように試行錯誤しているか想像したことはありますか? 今回は、機械学習の心臓 […]
AI翻訳の通知表?BLEUスコアと精度評価の仕組みをマスターしよう
こんにちは。ゆうせいです。 最近はDeepLやChatGPTなど、驚くほど自然な翻訳ができるツールが増えましたね。でも、AIが作った翻訳がどれくらい正しいのか、どうやって数値で判断しているか不思議に思ったことはありません […]
言葉を「座標」に変換する魔法!AIが文脈を読み解く「単語埋め込み」の不思議
こんにちは。ゆうせいです。 これまで画像認識のテクニックをたくさん学んできましたね。でも、AIができるのは写真を見ることだけではありません。今やAIは、私たちの言葉を理解し、小説を書いたり、翻訳をしたりすることもできます […]
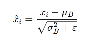
画像認識の常識!なぜCNNではドロップアウトより「バッチノーマライゼーション」が愛されるのか?
こんにちは。ゆうせいです。 前回の記事では、脳細胞をあえてサボらせる「ドロップアウト」の凄さについてお話ししました。過学習を防ぐ特効薬として有名なドロップアウトですが、実は画像認識(CNN)の現場では、少しずつその出番を […]









